1.7.2.2 De intonatie van vraagzinnen
Vraagzinnen worden gekenmerkt door stijgende toonhoogtecontouren aan het einde
van de zin. Een aantal mogelijke finale toonconfiguraties voor vraagzinnen zijn
de lage stijging, de hoge stijging en de ‘lage lage’ stijging.
Bij een ‘lage stijging’ heeft het laatste accent een stijgende contour, en
vervolgens stijgt de toonhoogte verder aan het einde van de zin, die eindigt met
een hoge grenstoon. Dit wordt getranscribeerd als L*H H%.
Bron: Gussenhoven (2005: 128-129).
Zin (1) geeft een voorbeeld van deze intonatiecontour.
1Ga je vanavond naar de
schouwburg?
De zwarte stippen op de intonatiecontour corresponderen met de toonsegmenten
L en H. De witte stip geeft aan tot hoever de vorige toon doorloopt.
Bron: Taalportaal
De ‘hoge stijging’ wordt weergegeven als H* H%. Hierbij heeft het laatste accent
een middelhoge toonhoogte en stijgt de toonhoogte aan het einde van de zin naar
een hoge grenstoon
Bron: Gussenhoven (2005: 129).
, zoals in zin (2).
2Was je daar helemaal
alleen naartoe gegaan?
Bron: Taalportaal
Zinnen met een ‘lage lage stijging’ hebben een laag finaal toonhoogteaccent
waarbij de lage toonhoogte wordt voortgezet tot de voorlaatste lettergreep,
zoals in voorbeeld (3). Pas in de laatste lettergreep vindt een stijging plaats.
Dit wordt getranscribeerd als L* H%.
Bron: Gussenhoven (2005: 130).
3Zijn er meloenen te
veel?
Het is dus kenmerkend voor vraagzinnen dat ze eindigen met een hoge finale
grenstoon H%.
Bron: Haan (2002: 214).
Het is echter niet zo dat alle vraagzinnen eindigen met een hoge finale
grenstoon en dat alle zinnen met een finale stijging vragen zijn. Een hoge
finale grenstoon kan ook gebruikt worden om te signaleren dat een (mededelende)
spraakuiting wordt voortgezet (zie paragraaf
1.7.2.3).Verder lezen
Fonetische kenmerken van vraagzinnen
Naast de verschillende fonologische vormen die vraagzinnen kunnen hebben, hebben
ze ook belangrijke fonetische eigenschappen. Zo zijn de (lage) begintonen van
vraagzinnen hoger dan die van mededelende zinnen, ook al behoren de beginnende
grenstonen van de vraag en mededeling tot dezelfde fonologische categorie (%L).
Verder wordt het globale spraakregister verhoogd en is ook het finale
toonhoogteaccent hoger in vragen dan in mededelende zinnen. Ten slotte vormt bij
vraagzinnen de finale toonhoogte het hoogste punt in de toonhoogtecontour van de
hele zin. Er is sprake van een inclinatie in plaats van
declinatie.
Bron: Haan (2002: 214-221).
De Functionele Hypothese
Verdieping
De Functionele Hypothese
Onderzoek van Haan (2002) naar de intonatie van vraagzinnen in het Nederlands
ondersteunt de zogeheten Functionele Hypothese (Haan et al. 1997; Van
Heuven 2017b) die stelt dat vraagzinnen die minder syntactische en
lexicale kenmerken van vragen hebben, worden gekenmerkt door hogere en
vaker stijgende toonhoogtecontouren dan andere typen vraagzinnen. Met
andere woorden: hoe meer syntactische of lexicale kenmerken het
vraagzinkarakter uitdrukken, des te minder wordt de zin gekenmerkt door
vragende intonatie, en andersom. Zo zien we verschillen in intonatie
tussen vraagzinnen van het type mededelende vraag, ja/nee-vragen en
zinnen met een vraagwoord als
wie,
wat,
waar, of
hoe
(wh-vragen). Vragen
met een vraagwoord (en meestal ook inversie) worden
gerealiseerd met de fonetisch minst uitgesproken vraagintonatie. Daarop
volgen ja/nee-vragen (die alleen inversie hebben), en mededelende vragen
zonder syntactische of lexicale kenmerken van vragen, die worden
gerealiseerd met de meest uitgesproken vraagintonatie.
Bron: Haan (2002: 215-219).
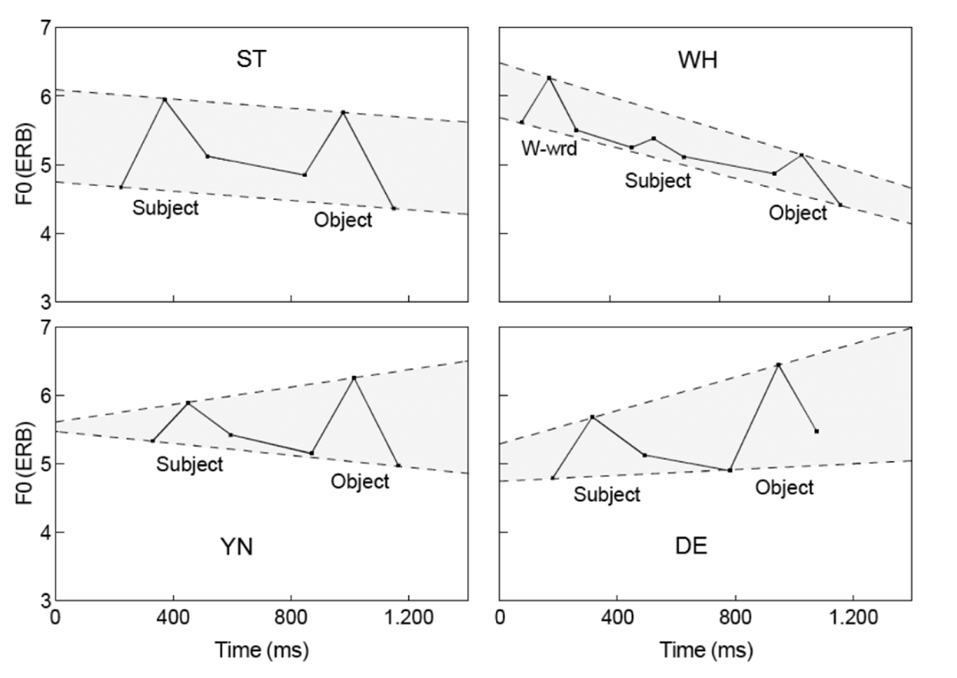
Ter illustratie: de hoge en lage declinatielijnen zijn slechts
verhoogd in vraagwoordvragen, terwijl in ja/nee-vragen de bovenste
declinatielijn stijgend is (er is sprake van inclinatie), en in
mededelende vragen is er bij beide lijnen sprake van inclinatie (Figuur 1).
Zie Van Heuven (2017a: 8-16) voor een uitgebreidere bespreking
van deze intonatiepatronen.
Figuur 1. Gestileerde toonhoogtecontouren van vier zinstypes
(200 tokens per paneel) in grafieken van frequentie (Equivalent
Rectangular Bandwidth - ERB) naar tijd (ms). De zinstypes zijn
mededelingen (ST), vraagwoordvragen (WH), ja/nee-vragen (YN) en
mededelende vragen (DE). Hoge trendlijnen zijn getekend door de
twee hoogste pieken in de spraakuiting te verbinden; de lage
trendlijn verbindt het eerste lage punt met het laatste lage
punt (op één na laatste voor de mededelende vragen) (Bron: Van
Heuven 2017a: 12).
Literatuur
Rietveld & van Heuven (2016: 316-318); Haan (2002); Gussenhoven
(2005)
Literatuur
Interessante links
ANS
Taaladvies
Dagenta
Taalportaal
Versiegeschiedenis
| versie | redacteur(en) | datum | opmerkingen |
| 3.0 | Nelleke Jansen | november 2020 | |
| 2.1 | januari 2019 | Automatische conversie van ANS 2.0 | |
| 2.0 | W. Haeseryn, K. Romijn, G. Geerts, J. de Rooij, M.C. van den Toorn | 1997 | hoofdstuk 1,../../data/archief/ans2/e-ans/01/body.html; |
